ludoplayers7.com
HOME
About
Contact
Disclaimer
Privacy
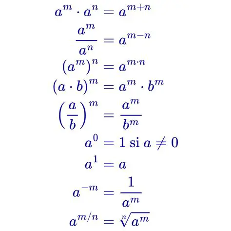
Aplicar la regla de los exponentes
Oct 13, 2025
by ludoplayers7.com
114
views