ludoplayers7.com
HOME
About
Contact
Disclaimer
Privacy
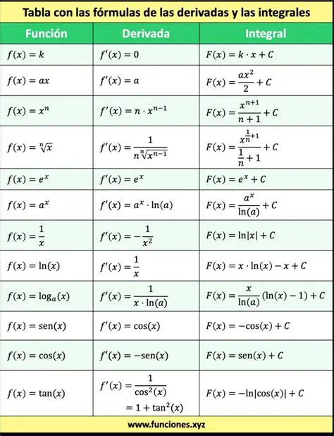
Calcular derivadas y integrales
Oct 13, 2025
by ludoplayers7.com
53
views