ludoplayers7.com
HOME
About
Contact
Disclaimer
Privacy
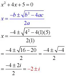
Complex Solutions of Quadratic Equations
Oct 13, 2025
by ludoplayers7.com
6
views