ludoplayers7.com
HOME
About
Contact
Disclaimer
Privacy
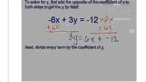
Solving for y in a Linear Function
Oct 13, 2025
by ludoplayers7.com
94
views