ludoplayers7.com
HOME
About
Contact
Disclaimer
Privacy
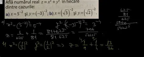
VAA ROGGG IMI TREBUIE REPEDE si DAU COROANA CU PUNCTE
Oct 13, 2025
by ludoplayers7.com
36
views